通知公告

当前位置: 首页 > 通知公告 > 正文

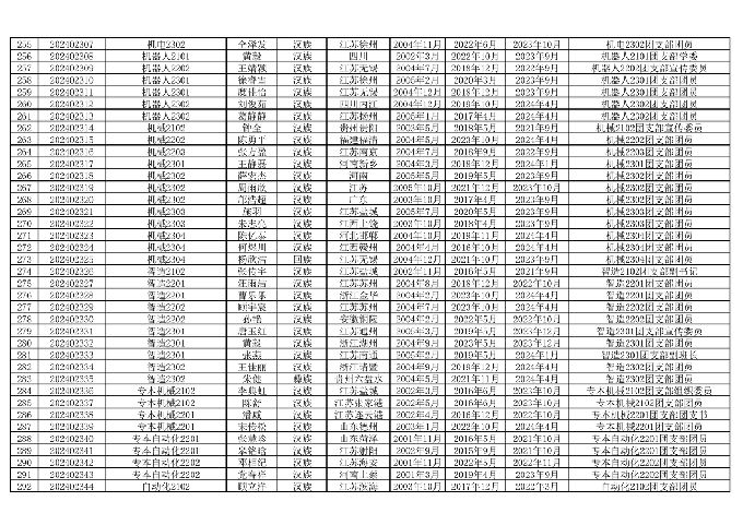
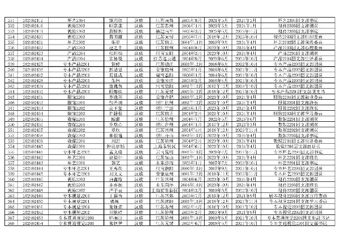
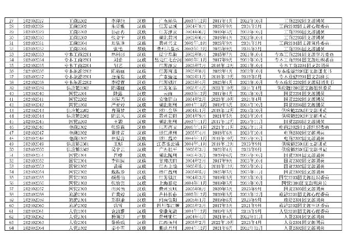
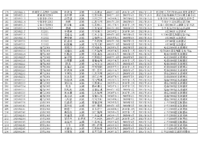
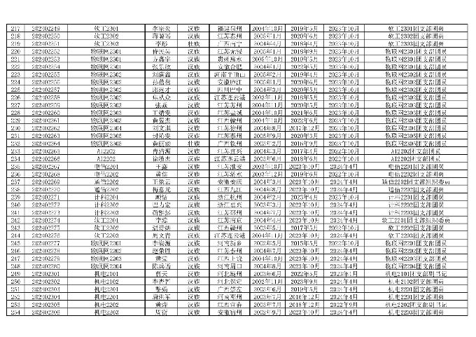
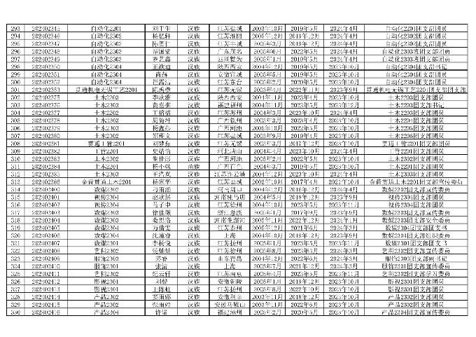
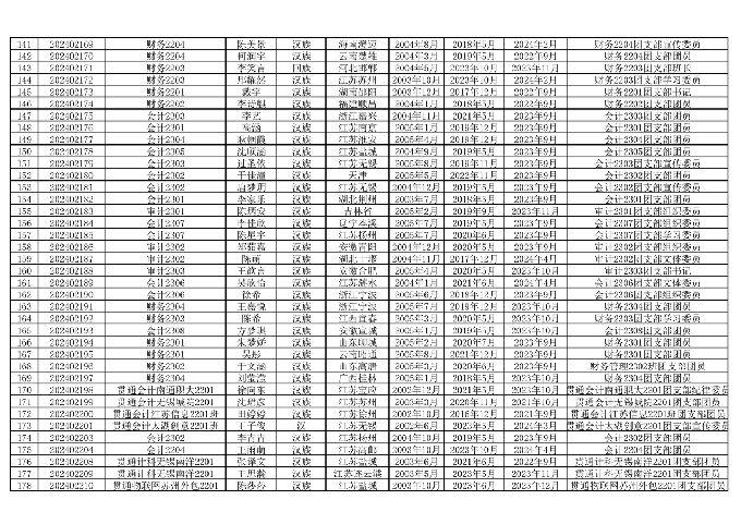
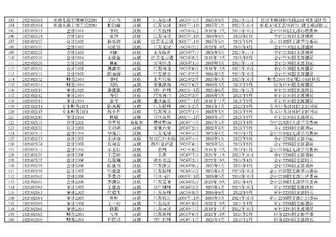
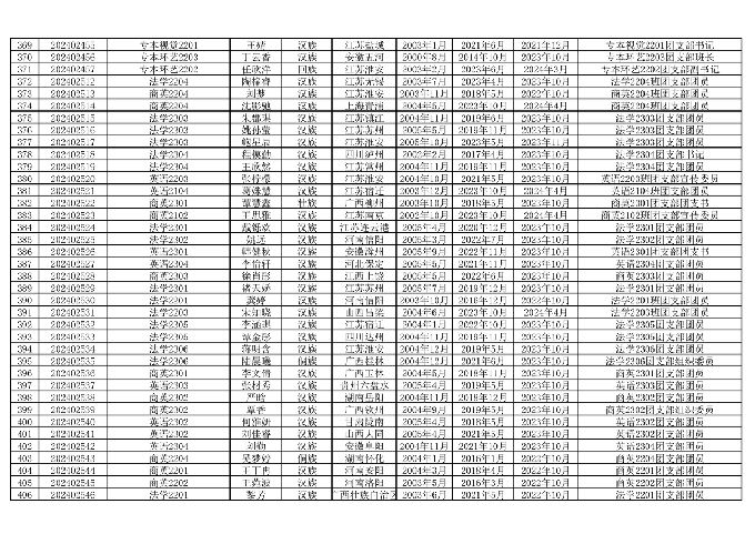
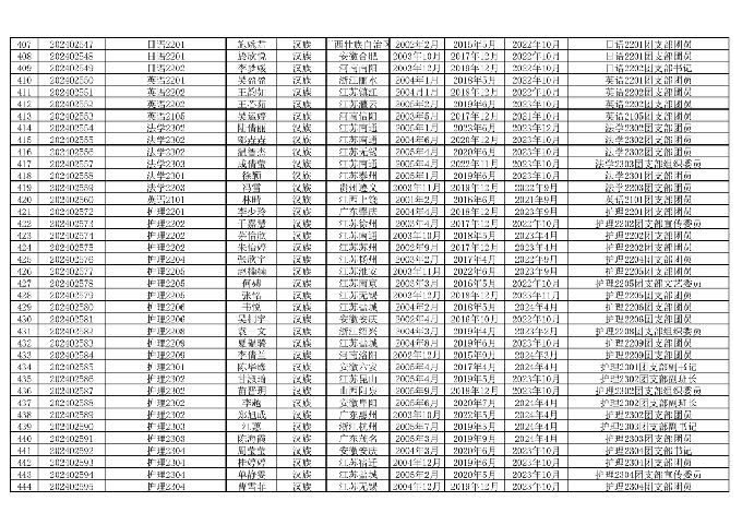
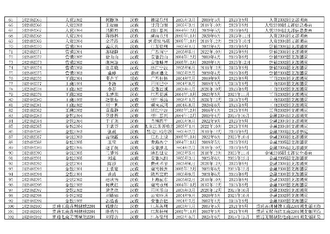
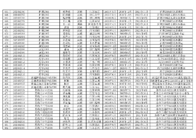
共青团无锡太湖学院委员会2024下半年拟推荐优秀共青团员作入党积极分子公示

发布日期:2024-10-22 作者: 阅读:

联系电话:0510-85532006

邮箱:tw@wxu.edu.cn

版权所有:无锡太湖学院 ©Copyright 2010 www.thxy.org Inc All Rights Reserved.